- 聯系我們
- 內 貿 部:0632-5228899 18806325904
外 貿 部:0632-3671188 17763266218
采 購 部:0632-7663999 18663267979
人力資源:0632-7683555
郵箱:kr@krwater.com
官 網:http://m.cnfrco.com
地址:山東省棗莊市薛城區薛城化工產業園府前路路南1號
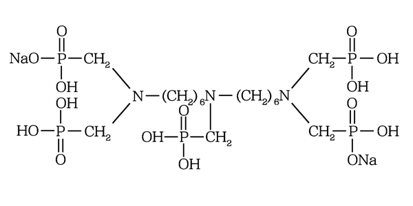
Partially Neutralized Sodium Salt of Bis Hexamethylene Triamine penta
(Methylene Phosphonic Acid) BHMTPH·PN(Na2)
- 別名:二己烯三胺五亞甲基膦酸鈉
- CAS No.35657-77-3
- 分子式 C17H42O15N3P5Na2 相對分子質量:約731
- 結構式
.jpg)
- 一、性能與用途:
- BHMTPH?PN(Na2)是高效的螯合型阻垢劑,對碳酸鹽垢和硫酸鹽垢具有良好的阻垢效果。在較寬的pH范圍和120℃高溫下有極佳的水溶性和熱穩定性,對鈣離子容忍度高。BHMTPH?PN(Na2)是油田水處理中的緩蝕阻垢劑、工業循環冷卻水和鍋爐水的阻垢緩蝕劑。
- 二、技術指標
| 項 目 |
指 標 |
| 外 觀 |
深棕色液體 |
| 活性組份(以酸計) | 35.0-39.0 |
| 鐵(以Fe2+計)含量mg/L |
≤65.0 |
|
密度(20℃)g/cm3 |
≥1.20 |
| pH(1%水溶液) |
2.5-4.5 |
- 三、使用方法
- BHMTPh?PN(Na2)可以單獨使用或與聚羧酸型阻垢分散劑配合使用。
- 四、包裝與貯存
-
BHMTPh?PN(Na2)用塑料桶包裝,每桶25kg或250kg,或根據用戶需求確定。貯于室內陰涼處,貯存期為十二個月。
- 五、安全防護
-
BHMTPh?PN(Na2)為弱酸性,操作時注意勞動保護,應避免與皮膚、眼睛等接觸,接觸后用大量清水沖洗。